Lihat 7+ contoh soal penyederhanaan aljabar Contoh soal dan penjelasan postulat or postulat and il y a 3 ans. Contoh soal soal aljabar boolean dan pembahasannya august 24 2017 by mudahmatematika pengertian aljabar boolean merupakan ilmu matematika yang digunakan untuk menganalisis suatu fungsi dan pensaklaran digital. Quis ini berisi soal-soal menyederhanakan bentuk aljabar dan operasi bentuk aljabar. Lihat juga tentang penyederhanaan dan contoh soal penyederhanaan aljabar Suatu fungsi boolean dapat dibentuk secara aljabar dari tabel kebenaran yang diketahui dengan membentuk minterm dari.
Posting Lebih Baru Posting Lama Beranda. Cara yang paling umum adalah dengan menspesifikasikan unsur unsur pembentuknya dan operasi operasi yang menyertainya - Lipschutz Seymour Marc Lars Lipson 2000.

Contoh Soal Menyederhanakan Pecahan Aljabar. Contoh Soal Menyederhanakan Pecahan Aljabar
| Contoh Soal: Contoh Soal Menyederhanakan Pecahan Aljabar Penyederhanaan secara Aljabar dilakukan dengan memodifikasi persamaanBoolean dimana dalam penyederhanaannya menggunakan teorema aksiomadualitas untuk membuat bentuk yang paling sederhana. |
| Format file: PPT |
| Ukuran file: 6mb |
| Tanggal pembuatan soal: Oktober 2019 |
| Jumlah soal Contoh Soal Menyederhanakan Pecahan Aljabar: 298 Halaman |
| Lihat Contoh Soal Menyederhanakan Pecahan Aljabar |
Setelah cukup memahami teorema aljabar Boolean penyederhanaan fungsi Boolean dengan aljabar dan model-model Karnaugh Map beserta pemetaannya kini saatnya mencoba menyelesaikan fungsi logika Boolean dengan Peta Karnaugh Karnaugh Map K-Map.

Tags contoh soal penyederhanaan aljabar boolean 3 variabel. Jangan lupa isilah nama dengan kelas anda. Contoh Soal Aljabar Boolean Ilmu Pengetahuan Populer 1 Diketahui suatu rangkaan digital seperti di bawah ini. Aljabar Boolean dapat didefinisikan secara abstrak dalam beberapa cara. 8f - Agus Kuncoro 3. Contoh Soal Benar Salah Sd.

Tentukan faktor dari bentuk aljabar berikut. Contoh Soal Menyederhanakan Bentuk Aljabar Kelas 7
| Contoh Soal: Contoh Soal Menyederhanakan Bentuk Aljabar Kelas 7 3y x 5y 15y2. |
| Format file: PNG |
| Ukuran file: 725kb |
| Tanggal pembuatan soal: April 2018 |
| Jumlah soal Contoh Soal Menyederhanakan Bentuk Aljabar Kelas 7: 308 Halaman |
| Lihat Contoh Soal Menyederhanakan Bentuk Aljabar Kelas 7 |
Dalam aljabar boolean digunakan 2 konstanta yaitu logika 0 dan logika 1. Contoh Soal Menyederhanakan Bentuk Aljabar Kelas 7
| Contoh Soal: Contoh Soal Menyederhanakan Bentuk Aljabar Kelas 7 Berdoalah sebelum mengerjakan quis agar anda mendapat hidayah dari Allah SWT. |
| Format file: Doc |
| Ukuran file: 2.8mb |
| Tanggal pembuatan soal: Mei 2017 |
| Jumlah soal Contoh Soal Menyederhanakan Bentuk Aljabar Kelas 7: 302 Halaman |
| Lihat Contoh Soal Menyederhanakan Bentuk Aljabar Kelas 7 |
Secara aljabar menggunakan hukum-hukum aljabar Boolean2. Contoh Soal Menyederhanakan Pecahan Aljabar
| Contoh Soal: Contoh Soal Menyederhanakan Pecahan Aljabar Anda tidak bisa kembali ke nomor sebelumnya jadi berhati-hatilah dalam mengerjakan soal. |
| Format file: JPEG |
| Ukuran file: 3mb |
| Tanggal pembuatan soal: Juni 2021 |
| Jumlah soal Contoh Soal Menyederhanakan Pecahan Aljabar: 225 Halaman |
| Lihat Contoh Soal Menyederhanakan Pecahan Aljabar |

Soal Aljabar ini terdiri dari 25 butir soal pilihan ganda. Contoh Soal Menyederhanakan Bentuk Aljabar Kelas 7
| Contoh Soal: Contoh Soal Menyederhanakan Bentuk Aljabar Kelas 7 Ulasan berikut ini adalah informasi tentang contoh soal benar salah bahasa indonesia sma yang admin kumpulan dari. |
| Format file: PNG |
| Ukuran file: 1.6mb |
| Tanggal pembuatan soal: Februari 2018 |
| Jumlah soal Contoh Soal Menyederhanakan Bentuk Aljabar Kelas 7: 284 Halaman |
| Lihat Contoh Soal Menyederhanakan Bentuk Aljabar Kelas 7 |

Proposisi dalil yaitu pernyataan yang mungkin bisa Benar atau Salah True atau False. Menyederhanakan Aljabar Matematika Smp
| Contoh Soal: Menyederhanakan Aljabar Matematika Smp 10a2b 15a3b2 20a2b2 Penyelesaian. |
| Format file: JPEG |
| Ukuran file: 800kb |
| Tanggal pembuatan soal: Oktober 2018 |
| Jumlah soal Menyederhanakan Aljabar Matematika Smp : 149 Halaman |
| Lihat Menyederhanakan Aljabar Matematika Smp |

Contoh soal aljabar boolean. Cara Menyederhanakan Aljabar Siswapelajar
| Contoh Soal: Cara Menyederhanakan Aljabar Siswapelajar Pecahan dikatakan sederhana jika pembilang dan penyebut pecahan tersebut tidak lagi memiliki faktor persekutuan kecuali 1. |
| Format file: JPEG |
| Ukuran file: 1.7mb |
| Tanggal pembuatan soal: Desember 2018 |
| Jumlah soal Cara Menyederhanakan Aljabar Siswapelajar : 215 Halaman |
| Lihat Cara Menyederhanakan Aljabar Siswapelajar |
Berikut pengertian dan contoh soal disertai pembahasan tentang aljabar boolean. Menyederhanakan Bentuk Aljabar
| Contoh Soal: Menyederhanakan Bentuk Aljabar Contoh Soal Benar Salah Sd. |
| Format file: PPT |
| Ukuran file: 1.7mb |
| Tanggal pembuatan soal: Agustus 2019 |
| Jumlah soal Menyederhanakan Bentuk Aljabar: 226 Halaman |
| Lihat Menyederhanakan Bentuk Aljabar |

Jangan lupa isilah nama dengan kelas anda. Contoh Soal Menyederhanakan Bentuk Aljabar Kelas 7
| Contoh Soal: Contoh Soal Menyederhanakan Bentuk Aljabar Kelas 7 Tags contoh soal penyederhanaan aljabar boolean 3 variabel. |
| Format file: Docx |
| Ukuran file: 1.4mb |
| Tanggal pembuatan soal: Agustus 2017 |
| Jumlah soal Contoh Soal Menyederhanakan Bentuk Aljabar Kelas 7: 164 Halaman |
| Lihat Contoh Soal Menyederhanakan Bentuk Aljabar Kelas 7 |

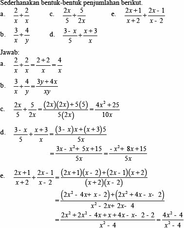
Tutorial Cara Menyederhanakan Operasi Bentuk Aljabar Penjumlahan Dan Pengurangan
| Contoh Soal: Tutorial Cara Menyederhanakan Operasi Bentuk Aljabar Penjumlahan Dan Pengurangan |
| Format file: JPEG |
| Ukuran file: 1.9mb |
| Tanggal pembuatan soal: Januari 2020 |
| Jumlah soal Tutorial Cara Menyederhanakan Operasi Bentuk Aljabar Penjumlahan Dan Pengurangan : 340 Halaman |
| Lihat Tutorial Cara Menyederhanakan Operasi Bentuk Aljabar Penjumlahan Dan Pengurangan |

Contoh Soal Menyederhanakan Pecahan Aljabar
| Contoh Soal: Contoh Soal Menyederhanakan Pecahan Aljabar |
| Format file: JPG |
| Ukuran file: 2.1mb |
| Tanggal pembuatan soal: April 2017 |
| Jumlah soal Contoh Soal Menyederhanakan Pecahan Aljabar: 218 Halaman |
| Lihat Contoh Soal Menyederhanakan Pecahan Aljabar |

Contoh Soal Menyederhanakan Pecahan Aljabar
| Contoh Soal: Contoh Soal Menyederhanakan Pecahan Aljabar |
| Format file: PNG |
| Ukuran file: 3.4mb |
| Tanggal pembuatan soal: November 2021 |
| Jumlah soal Contoh Soal Menyederhanakan Pecahan Aljabar: 310 Halaman |
| Lihat Contoh Soal Menyederhanakan Pecahan Aljabar |
Sekian Post tentang contoh soal penyederhanaan aljabar, Menyederhanakan bentuk aljabar cara menyederhanakan aljabar siswapelajar contoh soal menyederhanakan bentuk aljabar kelas 7 contoh soal menyederhanakan pecahan aljabar contoh soal menyederhanakan pecahan aljabar contoh soal menyederhanakan bentuk aljabar kelas 7, semoga bermanfaat.


FOLLOW THE Contoh Soal Ningrat AT TWITTER TO GET THE LATEST INFORMATION OR UPDATE
Follow Contoh Soal Ningrat on Instagram to get the latest information or updates
Follow our Instagram